你好,欢迎来到中华试剂网 购试剂 买耗材! [请登录][注册有惊喜]

货号快速下单 | 签到送积分   | 会员中心 | 客服热线:400-021-2765

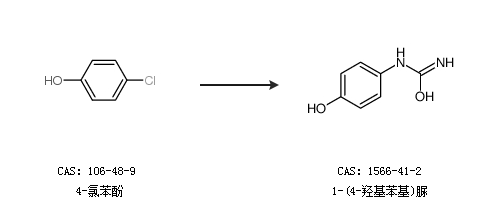
1-(4-羟基苯基)脲的合成路线

提问时间:2021/4/23 15:00:48
1-(4-羟基苯基)脲有什么方法可以合成?

1条回复:

匿名
2021/4/23 15:00:48
基本信息:
中文名称 1-(4-羟基苯基)脲
英文名称 (4-hydroxyphenyl)urea
英文别名 4-Ureidophenol;p-Ureidophenol;
CAS号 1566-41-2

合成路线:
1.通过氰酸钠和复硝酚钠合成1-(4-羟基苯基)脲


2.通过4-氯苯酚合成1-(4-羟基苯基)脲


中华试剂网提醒:合成路线仅供参考
回复