基本信息:
中文名称 (βR)-β-环戊基-4-(4,4,5,5-四甲基-1,3,2-二氧杂硼杂环戊烷-2-基)-1H-吡唑-1-丙腈
中文别名 (betaR)-beta-环戊基-4-(4,4,5,5-四甲基-1,3,2-二氧杂硼杂环戊烷-2-基)-1H-吡唑-1-丙腈
英文名称 (R)-3-Cyclopentyl-3-(4-(4,4,5,5-tetramethyl-1,3,2-dioxaborolan-2-yl)-1H-pyrazol-1-yl)propanenitrile
英文别名 (3R)-3-cyclopentyl-3-[4-(4,4,5,5-tetramethyl-1,3,2-dioxaborolan-2-yl)pyrazol-1-yl]propanenitrile;
CAS号 1146629-84-6
合成路线:
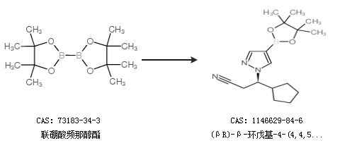
1.通过联硼酸频那醇酯合成(βR)-β-环戊基-4-(4,4,5,5-四甲基-1,3,2-二氧杂硼杂环戊烷-2-基)-1H-吡唑-1-丙腈

2.通过(R)-3-(4-溴-1H-吡唑-1-基)-3-环戊基丙腈和联硼酸频那醇酯合成(βR)-β-环戊基-4-(4,4,5,5-四甲基-1,3,2-二氧杂硼杂环戊烷-2-基)-1H-吡唑-1-丙腈

中华试剂网提醒:合成路线仅供参考