基本信息:
中文名称 (S)-N-BOC-4-氟苯基氨基乙酸
中文别名 (S)-N-BOC-4-氟代苯苷氨酸;(S)-N-Boc-4-氟苯基氨基乙酸;
英文名称 (2S)-2-(4-fluorophenyl)-2-[(2-methylpropan-2-yl)oxycarbonylamino]acetic acid
英文别名 (S)-2-((tert-Butoxycarbonyl)amino)-2-(4-fluorophenyl)acetic acid;(S)-N-BOC-4-Fluorophenylglycine;(2S)-[(tert-butoxycarbonyl)amino](4-fluorophenyl)ethanoic acid;BOC-4-FLUORO-L-PHENYLGLYCINE;(S)-N-(tert-butoxycarbonyl)-(4-fluorophenyl)glycine;N-(tert-butyloxycarbonyl)-4-fluorophenylglycine;(2S)-[(tert-butoxycarbonyl)amino](4-fluorophenyl)acetic acid;(S)-N-BOC-4-FLUOROPHENYLGLYCINE;
CAS号 142186-36-5
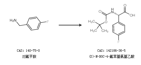
合成路线:
1.通过4-氟-L-alpha-苯甘氨酸合成(S)-N-BOC-4-氟苯基氨基乙酸,收率约97%;

2.通过对氟苄胺合成(S)-N-BOC-4-氟苯基氨基乙酸

中华试剂网提醒:合成路线仅供参考