基本信息:
中文名称 (S)-3,7-二甲基-1,6-辛二烯-3-醇
英文名称 (S)-linalool
英文别名 (+)-Linalool;(3R)-Linalool;coriandrol;1,6-Octadien-3-ol,3,7-dimethyl-,(S);(3S)-3,7-dimethylocta-1,6-dien-3-ol;(S)-3,7-Dimethyl-1,6-octadien-3-ol;3,7-dimethyloct-1,6-dien-3-ol;UNII-F4VNO44C09;(3S)-(-)-linalool;(S)-(+)-Linalool;
CAS号 126-90-9
合成路线:
1.通过3,7-二甲基-6-辛烯-1-炔基-3-醇合成(S)-3,7-二甲基-1,6-辛二烯-3-醇,收率约97%;

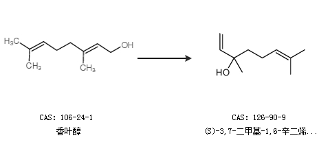
2.通过香叶醇合成(S)-3,7-二甲基-1,6-辛二烯-3-醇

中华试剂网提醒:合成路线仅供参考