基本信息:
中文名称 (S)-1-(苄基氨基)-4-甲基-1-氧代-2-戊基氨基甲酸叔丁酯
英文名称 N-[1-(benzylamino)-4-methyl-1-oxopentan-2-yl]-N-tert-butylcarbamate
英文别名 (S)-tert-butyl 1-(benzylamino)-1-oxo-4-methylpentan-2-ylcarbamate;1-benzyloxycarbamoyl-3-methyl-butyl-carbamic acid tert-butyl ester;(S)-Boc-Leu-NHBn;N-tert-butoxycarbonyl-L-leucine benzylamide;Carbamicacid,N-[(1S)-3-methyl-1-[[(phenylmethyl)amino]carbonyl]butyl]-,1,1-dimethylethyl ester;(S)-TERT-BUTYL-1-(BENZYLAMINO)-4-METHYL-1-OXOPENTAN-2-YLCARBAMATE;
CAS号 101669-45-8
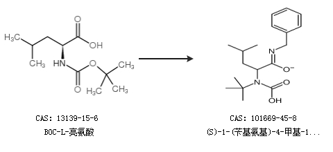
合成路线:
1.通过BOC-L-亮氨酸和苯甲胺合成(S)-1-(苄基氨基)-4-甲基-1-氧代-2-戊基氨基甲酸叔丁酯

2.通过BOC-L-亮氨酸合成(S)-1-(苄基氨基)-4-甲基-1-氧代-2-戊基氨基甲酸叔丁酯

中华试剂网提醒:合成路线仅供参考