基本信息:
中文名称 (S)-1-(5-氟吡啶-2-基)乙基氨基甲酸叔丁酯
英文名称 tert-butyl N-[(1S)-1-(5-fluoropyridin-2-yl)ethyl]carbamate
英文别名 QC-709;Y6479;(S)-tert-butyl 1-(5-fluoropyridin-2-yl)ethylcarbamate;tert-butyl [(1S)-1-(5-fluoropyridin-2-yl)ethyl]carbamate;
CAS号 905587-16-8
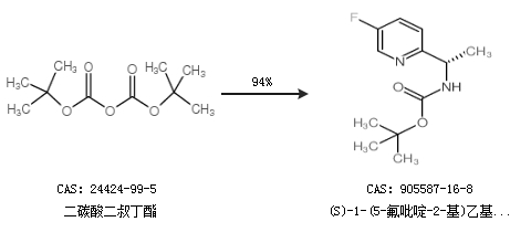
合成路线:
1.通过二碳酸二叔丁酯合成(S)-1-(5-氟吡啶-2-基)乙基氨基甲酸叔丁酯,收率约94%;

中华试剂网提醒:合成路线仅供参考