基本信息:
中文名称 (R)-1-(苄基氨基)-4-甲基-1-氧代-2-戊基氨基甲酸叔丁酯
英文名称 tert-butyl N-[1-(benzylamino)-4-methyl-1-oxopentan-2-yl]carbamate
英文别名 1-benzyloxycarbamoyl-3-methyl-butyl-carbamic acid tert-butyl ester;N-tert-butoxycarbonyl-L-leucine benzylamide;
CAS号 118283-03-7
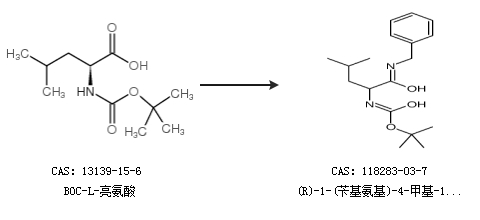
合成路线:
1.通过BOC-L-亮氨酸和苯甲胺合成(R)-1-(苄基氨基)-4-甲基-1-氧代-2-戊基氨基甲酸叔丁酯,收率约80%;

2.通过BOC-L-亮氨酸合成(R)-1-(苄基氨基)-4-甲基-1-氧代-2-戊基氨基甲酸叔丁酯

中华试剂网提醒:合成路线仅供参考