基本信息:
中文名称 (E)-3,7-二甲基-2,6-辛二烯醛
英文名称 geranial
英文别名 3,7-dimethyl-2,6-octadien-1-al;3,7-dimethyl(E,Z)-2,6-octadienal;3,7-dimethyl-octa-2,6-dien-1-al;3,7-Dimethyloctan-1-yl-propanoat;(2E)-3,7-Dimethyl-2,6-octadienal;3,7-Dimethyl-1-octyl propionate;3,7-dimethyl octyl propionate;trans-3,7-dimethyl-2,6-octadien-1-al;
CAS号 141-27-5
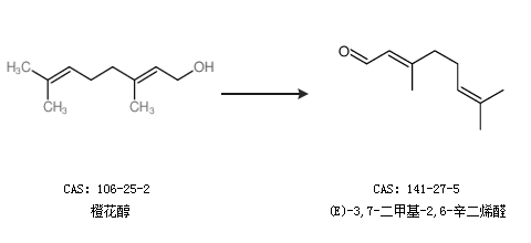
合成路线:
1.通过香叶醇合成(E)-3,7-二甲基-2,6-辛二烯醛,收率约97%;

2.通过橙花醇合成(E)-3,7-二甲基-2,6-辛二烯醛

中华试剂网提醒:合成路线仅供参考