基本信息:
中文名称 (9CI)-5-氯-2,4-二甲基嘧啶
英文名称 5-chloro-2,4-dimethylpyrimidine
英文别名 Pyrimidine,5-chloro-2,4-dimethyl;5-CHLORO-2,4-DIMETHYL-PYRIMIDINE;
CAS号 75712-73-1
合成路线:
1.通过甲基溴化镁和2,4,5-三氯嘧啶合成(9CI)-5-氯-2,4-二甲基嘧啶

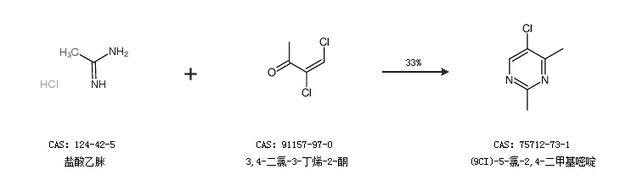
2.通过盐酸乙脒和3,4-二氯-3-丁烯-2-酮合成(9CI)-5-氯-2,4-二甲基嘧啶,收率约33%;

中华试剂网提醒:合成路线仅供参考