基本信息:
中文名称 (6-氨基-3-吡啶基)甲醇
中文别名 6-氨基-3-吡啶基甲醇;6-氨基-3-吡啶基甲醇;2-胺基-5-羟甲基吡啶;
英文名称 2-Amino-5-hydroxymethylpyridine
英文别名 (6-Aminopyridin-3-yl)methanol;(6-Amino-3-pyridinyl)methanol;2-Amino-5-pyridinemethanol;(6-aminopyridin-3-yl)methanol;
CAS号 113293-71-3
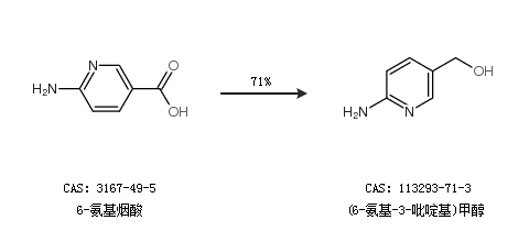
合成路线:
1.通过6-氨基烟酸合成(6-氨基-3-吡啶基)甲醇,收率约71%;

2.通过6-氨基烟酸乙酯合成(6-氨基-3-吡啶基)甲醇

中华试剂网提醒:合成路线仅供参考