基本信息:
中文名称 (4R-Cis)-6-羟甲基-2,2-二甲基-1,3-二氧六环-4-乙酸叔丁酯
中文别名 ROSVASTATIN INTERMEDIATES;罗苏伐他汀钙C-5侧链;罗素伐他汀钙中间体 C-2;2 D-6(4R-CIS)-6-羟甲基-2,2-二甲基-1,3-二氧六环-4-乙酸叔丁酯;(4R-cis)-6-羟甲基-2,2二甲基-1,3-二氧六环-4-乙酸叔丁酯;2-[(4R,6S)-6-(羟甲基)-2,2-二甲基-1,3-二氧六环-4-基]乙酸叔丁酯;2-[(4R,6S)-6-(羟甲基)-2,2-二甲基-1,3-二恶烷-4-基]乙酸叔丁酯;(4R,6S)-6-(羟甲基)-2,2-二甲基-1,3-二氧六环-4-乙酸叔丁酯;(4R-CIS)-6-羟甲基-2,2-二甲基-1,3-二氧六环-4-乙酸叔丁;
英文名称 (4R-Cis)-6-Hydroxymethyl-2,2-Dimethyl-1,3-Dioxane-4-Acetic Acid 1,1-Dimethylethyl Ester
英文别名 (4R,6S)-6-(Hydroxymethyl)-2,2-dimethyl-1,3-dioxane-4-acetic Acid tert-Butyl Ester;tert-Butyl (3R,5S)-6-hydroxy-3,5-O-isopropylidene-3,5-dihydroxyhexanoate;tert-Butyl 2-[(4R,6S)-6-(Hydroxymethyl)-2,2-dimethyl-1,3-dioxan-4-yl]acetate;(4R,6S)-6-Hydroxymethyl-2,2-dimethyl-1,3-dioxane-4-acetic Acid 1,1-Dimethylethyl Ester;tert-Butyl (4R,6S)-6-(Hydroxymethyl)-2,2-dimethyl-1,3-dioxane-4-acetate;2-[(4R,6S)-6-(Hydroxymethyl)-2,2-dimethyl-1,3-dioxan-4-yl]acetic Acid tert-Butyl Ester;
CAS号 124655-09-0
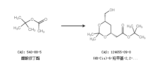
合成路线:
1.通过(4R-cis)-6-醛基-2,2-二甲基-1,3-二氧己环-4-乙酸叔丁酯合成(4R-Cis)-6-羟甲基-2,2-二甲基-1,3-二氧六环-4-乙酸叔丁酯,收率约81%;

2.通过醋酸叔丁酯合成(4R-Cis)-6-羟甲基-2,2-二甲基-1,3-二氧六环-4-乙酸叔丁酯

中华试剂网提醒:合成路线仅供参考