你好,欢迎来到中华试剂网 购试剂 买耗材! [请登录][注册有惊喜]

货号快速下单 | 签到送积分   | 会员中心 | 客服热线:400-021-2765

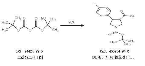
(3R,4r)-4-(4-氟苯基)-1,3-吡咯烷二羧酸 1-(1,1-二甲基乙基)酯的合成路线

提问时间:2021/4/23 15:00:47
(3R,4r)-4-(4-氟苯基)-1,3-吡咯烷二羧酸 1-(1,1-二甲基乙基)酯有什么方法可以合成?

1条回复:

匿名
2021/4/23 15:00:47
基本信息:
中文名称 (3R,4r)-4-(4-氟苯基)-1,3-吡咯烷二羧酸 1-(1,1-二甲基乙基)酯
英文名称 4-(4-fluorophenyl)-1-[(2-methylpropan-2-yl)oxycarbonyl]pyrrolidine-3-carboxylic acid
CAS号 455954-94-6

合成路线:
1.通过二碳酸二叔丁酯合成(3R,4r)-4-(4-氟苯基)-1,3-吡咯烷二羧酸 1-(1,1-二甲基乙基)酯,收率约90%;


中华试剂网提醒:合成路线仅供参考
回复