你好,欢迎来到中华试剂网 购试剂 买耗材! [请登录][注册有惊喜]

货号快速下单 | 签到送积分   | 会员中心 | 客服热线:400-021-2765

(2-溴-4-氟苯氧基)-乙酸的合成路线

提问时间:2021/4/23 15:00:47
(2-溴-4-氟苯氧基)-乙酸有什么方法可以合成?

1条回复:

匿名
2021/4/23 15:00:47
基本信息:
中文名称 (2-溴-4-氟苯氧基)-乙酸
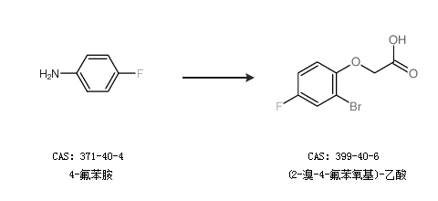
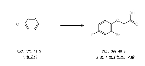
英文名称 2-(2-bromo-4-fluorophenoxy)acetic acid
英文别名 2-bromo-4-fluorophenoxyacetic acid;(2-Brom-4-fluor-phenoxy)-essigsaeure;
CAS号 399-40-6

合成路线:
1.通过4-氟苯酚合成(2-溴-4-氟苯氧基)-乙酸


2.通过4-氟苯胺合成(2-溴-4-氟苯氧基)-乙酸


中华试剂网提醒:合成路线仅供参考
回复