基本信息:
中文名称 (2S,4R)-N-BOC-4-羟基哌啶-2-羧酸甲酯
中文别名 (2S,4R)-4-羟基哌啶-1,2-二羧酸 1-叔丁酯 2-甲酯;
英文名称 (2S,4R)-N-BOC-4-HYDROXYPIPERIDINE-2-CARBOXYLIC ACID METHYL ESTER, 98% E.E., 95
英文别名 (2S,4R)-4-hydroxy-piperidine-1,2-dicarboxylic acid 1-tert-butyl ester 2-methyl ester;(2S,4R)-N-BOC-4-HYDROXYPIPERIDINE-2-CARBO-XYLIC ACID METHYL ESTER ( E.E.);N-Boc cis 4R-hydroxy-2S-pipecolic acid methyl ester;Methyl (2S,4R)-4-hydroxypiperidine-2-carboxylate,N-BOC protected;(rac,cis)-4-hydroxy-piperidine-1,2-dicarboxylic acid 1-tert-butyl ester 2-methyl ester;(2S,4R)-methyl 1-(tert-butoxycarbonyl)-4-hydroxypiperidine-2-carboxylate;1-(tert-Butyl) 2-methyl (2S,4R)-4-hydroxypiperidine-1,2-dicarboxylate;(2S,4R)-N-(tert-butoxycarbonyl)-4-hydroxypiperidine-2-carboxylic acid methyl ester;Methyl (2S,4R)-N-BOC-4-hydroxypiperidine-2-carboxylate;
CAS号 254882-06-9
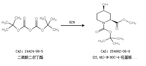
合成路线:
1.通过二碳酸二叔丁酯合成(2S,4R)-N-BOC-4-羟基哌啶-2-羧酸甲酯,收率约66%;

2.通过二碳酸二叔丁酯合成(2S,4R)-N-BOC-4-羟基哌啶-2-羧酸甲酯,收率约82%;

中华试剂网提醒:合成路线仅供参考