你好,欢迎来到中华试剂网 购试剂 买耗材! [请登录][注册有惊喜]

货号快速下单 | 签到送积分   | 会员中心 | 客服热线:400-021-2765

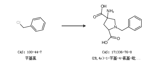
(2R,4r)-1-苄基-4-氨基-吡咯烷-2,4-二羧酸的合成路线

提问时间:2021/4/23 15:00:47
(2R,4r)-1-苄基-4-氨基-吡咯烷-2,4-二羧酸有什么方法可以合成?

1条回复:

匿名
2021/4/23 15:00:47
基本信息:
中文名称 (2R,4r)-1-苄基-4-氨基-吡咯烷-2,4-二羧酸
英文名称 (2R,4R)-4-amino-1-benzylpyrrolidine-2,4-dicarboxylic acid
CAS号 171336-76-8

合成路线:
1.通过苄基氯合成(2R,4r)-1-苄基-4-氨基-吡咯烷-2,4-二羧酸


2.通过顺式-4-羟基-D-脯氨酸盐酸盐合成(2R,4r)-1-苄基-4-氨基-吡咯烷-2,4-二羧酸


中华试剂网提醒:合成路线仅供参考
回复