基本信息:
中文名称 (1R,5R,6R)-5-(1-乙丙基)-7-氮杂双环[4.1.0]庚-3-烯-3-羧酸乙酯
英文名称 (1R,5R,6R)-5-(1-Ethylpropoxy)-7-azabicyclo[4.1.0]hept-3-ene-3-carboxylic Acid Ethyl Ester
英文别名 (1R,5R,6R)-5-(1-ethylpropoxy)-7-Azabicyclo[4.1.0]hept-3-ene-3-carboxylicacid,ethyl ester;ethyl (3R,4R,5R)-4,5-imino-3-(1-ethylpropoxy)-1-cyclohexene-1-carboxylate;ETHYL (1R,5R,6R)-5-(1-ETHYLPROPOXY)-7-AZABICYCLO[4.1.0]HEPT-3-ENE-3-CARBOXYLATE;
CAS号 204255-02-7
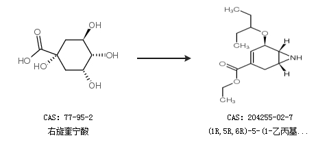
合成路线:
1.通过5-(戊烷-3-基氧基)-7-氧代-双环[4.1.0]庚-3-烯-3-羧酸乙酯合成(1R,5R,6R)-5-(1-乙丙基)-7-氮杂双环[4.1.0]庚-3-烯-3-羧酸乙酯

2.通过右旋奎宁酸合成(1R,5R,6R)-5-(1-乙丙基)-7-氮杂双环[4.1.0]庚-3-烯-3-羧酸乙酯

中华试剂网提醒:合成路线仅供参考