基本信息:
中文名称 (1R,4S)-2-氧代-7-氮杂双环[2.2.1]庚烷-7-羧酸叔丁酯
英文名称 (1R,4S)-7-Boc-2-oxo-7-azabicyclo[2.2.1]heptane
英文别名 tert-butyl (1S,4R)-3-oxo-7-azabicyclo[2.2.1]heptane-7-carboxylate;
CAS号 163513-98-2
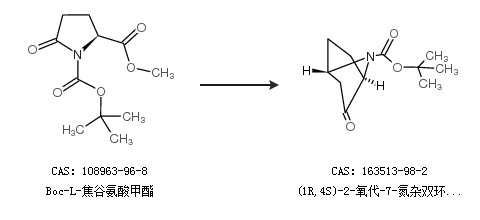
合成路线:
1.通过二碳酸二叔丁酯合成(1R,4S)-2-氧代-7-氮杂双环[2.2.1]庚烷-7-羧酸叔丁酯,收率约53%;

2.通过Boc-L-焦谷氨酸甲酯合成(1R,4S)-2-氧代-7-氮杂双环[2.2.1]庚烷-7-羧酸叔丁酯

中华试剂网提醒:合成路线仅供参考