基本信息:
中文名称 (1R,2R,4S)-N-Boc-1-氨基-2-羟基环戊烷-4-羧酸甲酯
英文名称 methyl (1S,3R,4R)-3-hydroxy-4-[(2-methylpropan-2-yl)oxycarbonylamino]cyclopentane-1-carboxylate
CAS号 321744-16-5
合成路线:
1.通过4-[[(1,1-二甲基乙氧基)羰基]氨基]-2-环戊烯-1-羧酸甲酯合成(1R,2R,4S)-N-Boc-1-氨基-2-羟基环戊烷-4-羧酸甲酯

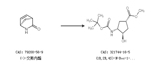
2.通过(-)-文斯内酯合成(1R,2R,4S)-N-Boc-1-氨基-2-羟基环戊烷-4-羧酸甲酯

中华试剂网提醒:合成路线仅供参考