基本信息:
中文名称 山栀苷甲酯
中文别名 三栀子甙甲酯;
英文名称 SHANZHISIDE METHYL ESTER
英文别名 shanziside Me-ester;shanzhiside Me ester;Shanzhiside methylester;hanzhiside Methyl ester;shanziside methyl ester;Shaniside methyl ester;shanzhiside methy ester;
CAS号 64421-28-9
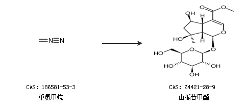
合成路线:
1.通过8-O-乙酰山栀苷甲酯合成山栀苷甲酯

2.通过重氮甲烷合成山栀苷甲酯

中华试剂网提醒:合成路线仅供参考