基本信息:
中文名称 3-氨基-5-氰基-1H-吲唑-1-羧酸叔丁酯
英文名称 tert-butyl 3-amino-5-cyanoindazole-1-carboxylate
英文别名 3-amino-5-cyano-indazol-1-carboxylic acid-tert-butyl ester;TERT-BUTYL 3-AMINO-5-CYANO-1H-INDAZOLE-1-CARBOXYLATE;
CAS号 871709-87-4
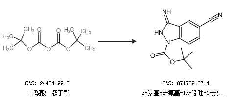
合成路线:
1.通过二碳酸二叔丁酯合成3-氨基-5-氰基-1H-吲唑-1-羧酸叔丁酯

中华试剂网提醒:合成路线仅供参考