基本信息:
中文名称 1,2-二乙烷
英文名称 1,2-bis(2-chloroethylsulfanyl)ethane
英文别名 Sesquisulfur Mustard;HSM 1;Agent Q;3,6-dithiaoctane-1,8-dichloride;Sesquimustard;TL 86;1,8-Dichloro-3,6-dithiaoctane;Sesquimustard Q;SM 1;
CAS号 3563-36-8
合成路线:
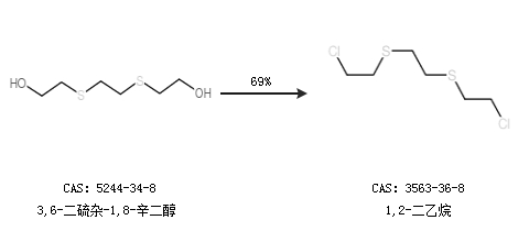
1.通过3,6-二硫杂-1,8-辛二醇合成1,2-二乙烷,收率约69%;

2.通过1,2-乙二硫醇和1-溴-2-氯乙烷合成1,2-二乙烷

中华试剂网提醒:合成路线仅供参考