基本信息:
中文名称 茚烷-5-羧酸
英文名称 2,3-dihydro-1H-indene-5-carboxylic acid
英文别名 5-Indancarbonsaeure;Indan-5-carbonsaeure;indane-5-carboxylic acid;5-indanecarboxylic acid;indan-5-carboxylic acid;5-Indancarboxylic acid;
CAS号 65898-38-6
合成路线:
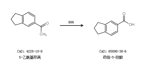
1.通过5-乙酰基茚满合成茚烷-5-羧酸,收率约99%;

2.通过茚满合成茚烷-5-羧酸

中华试剂网提醒:合成路线仅供参考