你好,欢迎来到中华试剂网 购试剂 买耗材! [请登录][注册有惊喜]

货号快速下单 | 签到送积分   | 会员中心 | 客服热线:400-021-2765

吲哚-3-丙酮的合成路线

提问时间:2021/4/23 8:56:17
吲哚-3-丙酮有什么方法可以合成?

1条回复:

匿名
2021/4/23 8:56:17
基本信息:
中文名称 吲哚-3-丙酮
中文别名 3-吲哚基丙酮;
英文名称 3-Indolylacetone
英文别名 1-(1H-indol-3-yl)propan-2-one;
CAS号 1201-26-9

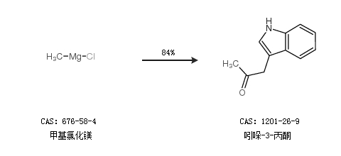
合成路线:
1.通过3-甲基吲哚和乙酰氯合成吲哚-3-丙酮,收率约59%;


2.通过甲基氯化镁合成吲哚-3-丙酮,收率约84%;


中华试剂网提醒:合成路线仅供参考
回复