基本信息:
中文名称 硝呋酚酰肼
中文别名 4-羟基-2''-(5-硝基呋喃甲叉)-苯酰肼;硝呋齐特;
英文名称 4-hydroxy-N-[(E)-(5-nitrofuran-2-yl)methylideneamino]benzamide
英文别名 Ercefurol;Ercefuryl;p-hydroxy-N''-(5-nitrofurfurylidene)benzhydrazide;Nifuroxazida;Nifuroxazid;Nifuroxazidum [INN-Latin];Nifuroxazide;Dicoferin;Diarlidan;Nifuroxazidum;
CAS号 965-52-6
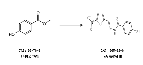
合成路线:
1.通过5-硝基糠醛二乙酸酯和4-羟基苯甲酰肼合成硝呋酚酰肼,收率约83%;

2.通过尼泊金甲酯合成硝呋酚酰肼

中华试剂网提醒:合成路线仅供参考