基本信息:
中文名称 香柑醇
中文别名 佛手酚;(S)-2-氨基-2-(3,5-二氟吡啶-2-基)乙醇;5-羟基-6,7-呋喃并香豆素;
英文名称 bergaptol
英文别名 4-hydroxyfuranocoumarin;Psoralin,5-hydroxy;4-Hydroxy-7H-furo[3,2-g]chromen-7-one;9-hydroxyfuranocoumarin;Bergaptol;xanthotoxol;5-Hydroxypsoralen;4-hydroxyfuro[3,2-g]chromen-7-one;5-Hydroxyfuranocoumarin;4-Hydroxy7H-furo[3,2-g][1]benzopyran-7-one,4-Hydroxybergapten,5-Hydroxy-6,7-furanocoumarin;
CAS号 486-60-2
合成路线:
1.通过佛手苷内酯合成香柑醇,收率约85%;

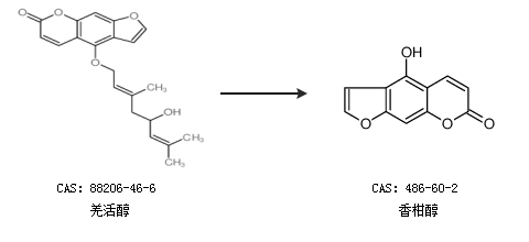
2.通过羌活醇合成香柑醇

中华试剂网提醒:合成路线仅供参考