基本信息:
中文名称 四(乙硫基)四硫富瓦烯
英文名称 Tetrakis(ethylthio)tetrathiafulvalene
英文别名 2,3,6,7-TETRAKIS(ETHYLTHIO)TETRATHIAFULVALENE;2-[4,5-bis(ethylsulfanyl)-1,3-dithiol-2-ylidene]-4,5-bis(ethylsulfanyl)-1,3-dithiole;
CAS号 104515-79-9
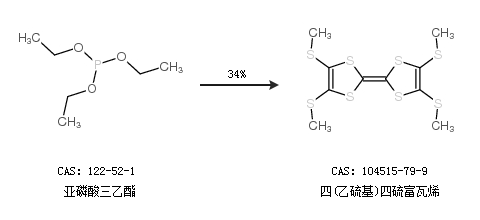
合成路线:
1.通过亚磷酸三乙酯合成四(乙硫基)四硫富瓦烯,收率约34%;

中华试剂网提醒:合成路线仅供参考