你好,欢迎来到中华试剂网 购试剂 买耗材! [请登录][注册有惊喜]

货号快速下单 | 签到送积分   | 会员中心 | 客服热线:400-021-2765

噻吩-2,3-二甲酸甲酯的合成路线

提问时间:2021/4/23 8:56:16
噻吩-2,3-二甲酸甲酯有什么方法可以合成?

1条回复:

匿名
2021/4/23 8:56:16
基本信息:
中文名称 噻吩-2,3-二甲酸甲酯
中文别名 噻吩-2,3-二甲酸二甲酯;
英文名称 Dimethyl Thiophene-2,3-Dicarboxylate
英文别名 Dimethyl thiophene-2,3-dicarboxylate;
CAS号 14300-68-6

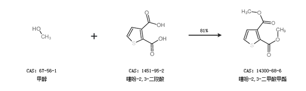
合成路线:
1.通过甲醇和噻吩-2,3-二羧酸合成噻吩-2,3-二甲酸甲酯,收率约81%;


2.通过丁炔二酸二甲酯合成噻吩-2,3-二甲酸甲酯,收率约12%;


中华试剂网提醒:合成路线仅供参考
回复