基本信息:
中文名称 乳清酸钾
中文别名 1,2,3,6-四氢-2,6-二氧代嘧啶-4-羧酸钾盐;
英文名称 potassium,2,4-dioxo-1H-pyrimidine-6-carboxylate
英文别名 6-Carboxy-2,4-dihydroxypyrimidine Uracil-6-carboxylic acid;potassium 2,6-dioxo-1,2,3,6-tetrahydropyrimidine-4-carboxylate;POTASSIUM 2,6-DIOXO-1,2,3,6-TETRAHYDRO-4-PYRIMIDINECARBOXYLATE;Potassium orotate;Potassium 1,2,3,6-tetrahydro-2,6-dioxopyrimidine-4-carboxylate;EINECS 246-341-0;orotic acid potassium salt;potassium oroate;potassium hydroorotate;4-Pyrimidinecarboxylic acid,1,2,3,6-tetrahydro-2,6-dioxo-,monopotassium salt;Potassium 2,6-dioxo-1,2,3,6-tetrahydro-4-pyrimidinecarboxylate;Orotic acid,monopotassium salt;2,6-dioxo-1,2,3,6-tetrahydro-pyrimidine-4-carboxylic acid,potassium-salt;Dioron;Ba 2658;2,6-Dioxo-1,2,3,6-tetrahydro-pyrimidin-4-carbonsaeure,Kalium-Salz;
CAS号 24598-73-0
合成路线:
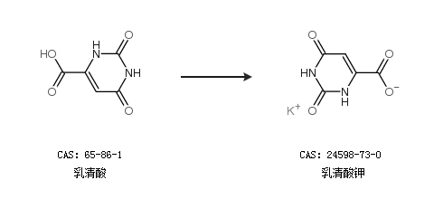
1.通过乳清酸合成乳清酸钾

中华试剂网提醒:合成路线仅供参考