基本信息:
中文名称 普仑司特
中文别名 普伦斯特;4-氧代-8-(4-(4-苯基丁氧基)苯甲酰氨基)-2-(四唑-5-基)-4H-1-苯并吡喃;
英文名称 Pranlukast
英文别名 4-Oxo-8-(4-(4-phenylbutoxy)benzoylamino)-2-(tetrazol-5-yl)-4H-1-benzopyran;4-Oxo-8-(4-(4-Phenylbutoxy)Benzoylamino)-2-(Tetrazol-5-yl)-4H-1-Benzopyran;
CAS号 103177-37-3
合成路线:
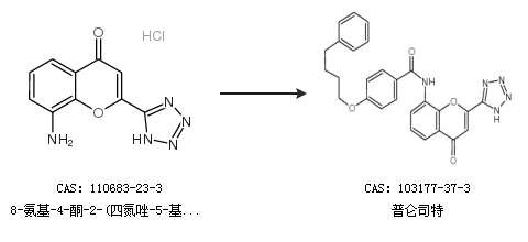
1.通过8-氨基-4-酮-2-(四氮唑-5-基)-4H-1-苯并吡喃盐酸盐合成普仑司特

2.通过1-氯-4-苯基丁烷合成普仑司特

中华试剂网提醒:合成路线仅供参考