基本信息:
中文名称 培哚普利
中文别名 培垛普利;1-[2-[[(1S)-(1-乙氧羰基)丁基]氨基]丙酰]-(2S,3aS,7aS)-八氢吲哚-2-羧酸;[2S-[1-[R^^,(R^^)],2Α,3ΑΒ,7ΑΒ]]-1-[2-[[1-(乙氧羰基)丁基]氨基]-1-氧丙基]八氢-1H-吲哚-2-羧酸;
英文名称 perindopril
英文别名 Procaptan;S-9490,McNA-2833;McN-A-2833-109;S-9490;Perindopril;MCNA-2833;Coversyl;S-9490-3;
CAS号 82834-16-0
合成路线:
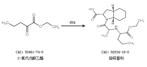
1.通过2-氧代戊酸乙酯合成培哚普利,收率约85%;

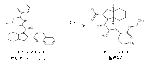
2.通过(2S,3AS,7AS)-1-[2-[乙氧基羰基-(S)-胺基]-(S)-丙酰基八氢吲哚-2-羧酸苄酯]合成培哚普利,收率约94%;

中华试剂网提醒:合成路线仅供参考