基本信息:
中文名称 莫西沙星
中文别名 1-环丙基-7-(S,S-2,8-二氮杂双环[4.3.0]壬烷-8-基)-6-氟-8-甲氧-4-氧代-1,4-二氢-3-喹啉羧酸;(4ΑS-CIS)-1-环丙基-6-氟-1,4-二氢-8-甲氧基-7-(六氢-6H-吡咯[3,4-B] 吡啶-6-基)-4-氧-3-喹啉羧酸;莫西沙星;
英文名称 moxifloxacin
英文别名 Avdox;Moxifloxacin;MAXIOFFOXACIN;
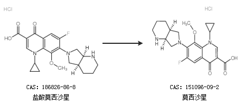
CAS号 151096-09-2
合成路线:
1.通过1-环丙基-6,7-二氟-1,4-二氢-8-甲氧基-4-氧代-3-喹啉羧酸和(1S,6S)-2,8-二氮杂二环[4.3.0]壬烷合成莫西沙星,收率约89%;

2.通过盐酸莫西沙星合成莫西沙星

中华试剂网提醒:合成路线仅供参考