基本信息:
中文名称 氯化耐尔蓝
中文别名 碱性蓝 12;尼罗兰;尼罗兰A;碱性蓝12;碱性蓝12,耐尔蓝A;
英文名称 nile blue A
英文别名 nilebluebase;BASIC BLUE 12;nile blue B;Nile Blue A;c.i.basicblue12;5-amino-9-diethylamino-benzo[a]phenoxazinylium,chloride;nileblueax;NILE BLUE A CHLORIDE;NILE BLUE CHLORIDE;cresolfastviolet;5-amino-9-diethylamino-benzo[a]phenoxazin-5-ylium,chloride;Nile Blue BX;
CAS号 2381-85-3
合成路线:
1.通过3-羟基-N,N-二乙基苯胺合成氯化耐尔蓝

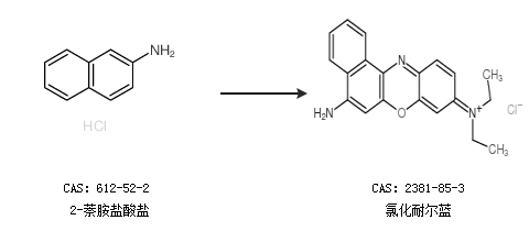
2.通过2-萘胺盐酸盐合成氯化耐尔蓝

中华试剂网提醒:合成路线仅供参考