你好,欢迎来到中华试剂网 购试剂 买耗材! [请登录][注册有惊喜]

货号快速下单 | 签到送积分   | 会员中心 | 客服热线:400-021-2765

甲酸桂酯的合成路线

提问时间:2021/4/23 8:56:15
甲酸桂酯有什么方法可以合成?

1条回复:

匿名
2021/4/23 8:56:15
基本信息:
中文名称 甲酸桂酯
中文别名 甲酸肉桂酯;
英文名称 Cinnamyl Formate
英文别名 Cinnamyl formate;CINNAMYL FORMATE;
CAS号 104-65-4

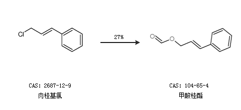
合成路线:
1.通过肉桂醇和三氯乙醛合成甲酸桂酯,收率约93%;


2.通过肉桂基氯合成甲酸桂酯,收率约27%;


中华试剂网提醒:合成路线仅供参考
回复