基本信息:
中文名称 己二酸一醯胺
中文别名 己醯胺酸;6-氨基-6-氧代-己酸;
英文名称 6-amino-6-oxohexanoic acid
英文别名 adipamic acid;6-AMINO-6-OXO-HEXANOIC ACID;5-Carbamoylpentanoic acid;Hexanoic acid,6-amino-6-oxo;Adipamidsaeure;Adipinsaeuremonoamid;Adipinsaeure-amid;Adipic acid monoamide;
CAS号 334-25-8
合成路线:
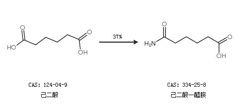
1.通过己二酸合成己二酸一醯胺,收率约64%;

2.通过己二酸合成己二酸一醯胺,收率约37%;

中华试剂网提醒:合成路线仅供参考