你好,欢迎来到中华试剂网 购试剂 买耗材! [请登录][注册有惊喜]

货号快速下单 | 签到送积分   | 会员中心 | 客服热线:400-021-2765

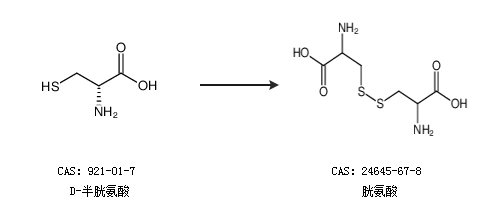
胱氨酸的合成路线

提问时间:2021/4/23 8:56:15
胱氨酸有什么方法可以合成?

1条回复:

匿名
2021/4/23 8:56:15
基本信息:
中文名称 胱氨酸
英文名称 Cystine
英文别名 DL-Cysteine-15N;D,L-cystine;
CAS号 24645-67-8

合成路线:
1.通过D-半胱氨酸合成胱氨酸


2.通过L-胱氨酸合成胱氨酸


中华试剂网提醒:合成路线仅供参考
回复