基本信息:
中文名称 氟虫胺
中文别名 N-乙基全氟正辛磺酰胺;N-乙基全氟辛基磺酰胺;N-乙基全氟辛烷磺酰胺;N-乙基-1,1,2,2,3,3,4,4,5,5,6,6,7,7,8,8,8-十七氟代-1-辛烷磺酰胺;FC-9;直链-N-乙基全氟辛烷磺酰胺;废蚁蟑;
英文名称 sulfluramid
英文别名 N-ethyl-1,1,2,2,3,3,4,4,5,5,6,6,7,7,8,8,8-heptadecafluorooctane-1-sulfonamide;N-Ethyl Perfluoro Octanesulfonamide;N-Ethyl-1,1,2,2,3,3,4,4,5,5,6,6,7,7,8,8,8-heptadecafluorooctane-1-sulfonamide;EINECS 223-980-3;Finitron;Mirex S;Sulfluramid;N-ethyl-1,1,2,2,3,3,4,4,5,5,6,6,7,7,8,8,8-heptadecafluoro-1-octanesulfonamide;N-Ethyl-1,1,2,2,3,3,4,4,5,5,6,6,7,7,8,8,8-heptadecafluoro-1-octanesulfonamide;N-ethyl perfluorooctane sulfonamide;N-ethylperfluorooctane-1-sulfonamide;N-Ethylperfluorooctylsulfonamide;N-Ethylperfluorooctane-1-sulfonamide;
CAS号 4151-50-2
合成路线:
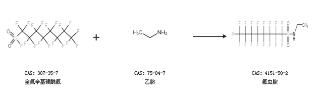
1.通过全氟辛基磺酰氟和乙胺合成氟虫胺,收率约57%;

2.通过全氟辛基磺酰氟和乙胺合成氟虫胺

中华试剂网提醒:合成路线仅供参考