基本信息:
中文名称 番泻苷元A
中文别名 番泻甙元A;
英文名称 SENNIDINE A
英文别名 dihydroxydianthrone;SENECIONINE(SH);(+)-4,5,4'',5''-tetrahydroxy-10,10''-dioxo-9,10,9'',10''-tetrahydro-[9,9'']bianthryl-2,2''-dicarboxylic acid;1'',1,8'',8-Tetrahydroxy-10,10''-dihydroanthrone-3,3''-dicarboxylic acid;EINECS 211-371-5;Sennidin A;(+)-4,5,4'',5''-Tetrahydroxy-10,10''-dioxo-9,10,9'',10''-tetrahydro-[9,9'']bianthryl-2,2''-dicarbonsaeure;(R*,R*)-(+)-9,9'',10,10''-Tetrahydro-4,4'',5,5''-tetrahydroxy-10,10''-dioxo(9,9''-bianthracene)-2,2''-dicarboxylic acid;(+)-4.5.4''.5''-Tetrahydroxy-10.10''-dioxo-9.10.9''.10''-tetrahydro-[9.9'']bianthryl-dicarbonsaeure-(2.2'');
CAS号 641-12-3
合成路线:
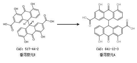
1.通过番泻苷元B合成番泻苷元A

2.通过番泻苷 A合成番泻苷元A

中华试剂网提醒:合成路线仅供参考