基本信息:
中文名称 二甲己二酸盐
英文名称 dipotassium,hexanedioate
英文别名 Adipicacid,dipotassium salt (8CI);Potassium adipate;Hexanedioic acid,dipotassium salt (9CI);Adipinsaeure,Dikalium-Verbindung;potassium biadipate;Hexanedioic acid,potassium salt (1:2);Dipotassium adipate;adipic acid,dipotassium-compound;Adipic acid dipotassium salt;
CAS号 19147-16-1
合成路线:
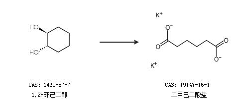
1.通过1,2-环己二醇合成二甲己二酸盐

2.通过己二酸二丁酯合成二甲己二酸盐

中华试剂网提醒:合成路线仅供参考