基本信息:
中文名称 对氟苯乙酰肼
中文别名 4-氟苯乙酰肼;
英文名称 2-(4-fluorophenyl)acetohydrazide
英文别名 4-fluorophenylacethydrazide;4-Fluorophenylacetyl hydrazine;4-FLUOROPHENYL ACETIC HYDRAZIDE;4-fluorophenyl acetohydrazide;4-fluorophenylmethyl hydrazide;
CAS号 34547-28-9
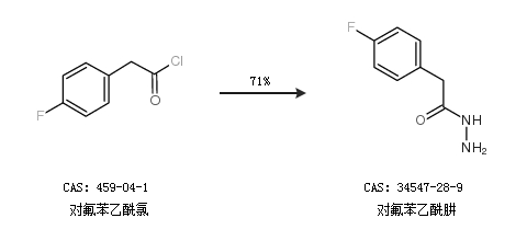
合成路线:
1.通过4-氟苯基乙酸甲酯合成对氟苯乙酰肼,收率约99%;

2.通过对氟苯乙酰氯合成对氟苯乙酰肼,收率约71%;

中华试剂网提醒:合成路线仅供参考