基本信息:
中文名称 单(4-羟基苯基)琥珀酸
英文名称 4-(4-hydroxyphenoxy)-4-oxobutanoate
英文别名 Mono(4-hydroxyphenyl) succinate;Butanedioicacid,mono(4-hydroxyphenyl) ester (9CI);Butanedioic acid,1-(4-hydroxyphenyl) ester;Succinic acid,mono(p-hydroxyphenyl)ester (8CI);4-Hydroxyphenyl Hydrogen Succinate;Bernsteinsaeure-mono-(4-hydroxy-phenylester);
CAS号 34428-26-7
合成路线:
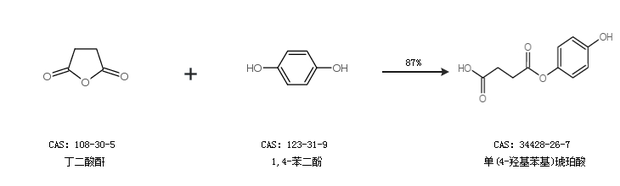
1.通过丁二酸酐和1,4-苯二酚合成单(4-羟基苯基)琥珀酸,收率约87%;

中华试剂网提醒:合成路线仅供参考