基本信息:
中文名称 N-乙酰基-2-哌啶酮
英文名称 1-acetylpiperidin-2-one
英文别名 1-Acetyl-piperidin-2-one;2-Piperidinone,1-acetyl;1-Acetyl-piperidin-2-on;1-Acetyl-2-piperidon;N-acetylpiperidone;N-Acetyl-2-piperidone;N-acetylpiperidinone;
CAS号 3326-13-4
合成路线:
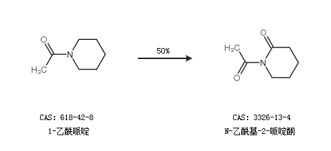
1.通过1-乙酰哌啶合成N-乙酰基-2-哌啶酮,收率约50%;

2.通过6-甲氧基-2,3,4,5-四氢吡啶合成N-乙酰基-2-哌啶酮,收率约99%;

中华试剂网提醒:合成路线仅供参考