你好,欢迎来到中华试剂网 购试剂 买耗材! [请登录][注册有惊喜]

货号快速下单 | 签到送积分   | 会员中心 | 客服热线:400-021-2765

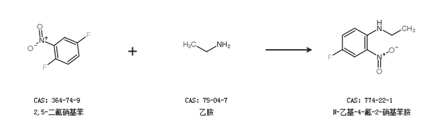
N-乙基-4-氟-2-硝基苯胺的合成路线

提问时间:2021/4/23 8:56:14
N-乙基-4-氟-2-硝基苯胺有什么方法可以合成?

1条回复:

匿名
2021/4/23 8:56:14
基本信息:
中文名称 N-乙基-4-氟-2-硝基苯胺
英文名称 N-ETHYL-4-FLUORO-2-NITROANILINE
英文别名 4-Fluor-2-nitro-N-ethyl-anilin;N-Ethyl-4-Fluoro-2-Nitro-Benzenamine;
CAS号 774-22-1

合成路线:
1.通过2,5-二氟硝基苯和乙胺合成N-乙基-4-氟-2-硝基苯胺


中华试剂网提醒:合成路线仅供参考
回复