你好,欢迎来到中华试剂网 购试剂 买耗材! [请登录][注册有惊喜]

货号快速下单 | 签到送积分   | 会员中心 | 客服热线:400-021-2765

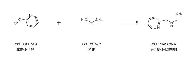
N-乙基-2-吡啶甲胺的合成路线

提问时间:2021/4/23 8:56:14
N-乙基-2-吡啶甲胺有什么方法可以合成?

1条回复:

匿名
2021/4/23 8:56:14
基本信息:
中文名称 N-乙基-2-吡啶甲胺
英文名称 N-Ethyl-N-(2-pyridylmethyl)amine
英文别名 N-(2-Pyridinylmethyl)ethanamine;N-(pyridin-2-ylmethyl)ethanamine;N-(Pyridin-2-ylmethyl)ethanamine;
CAS号 51639-58-8

合成路线:
1.通过吡啶-2-甲醛和乙胺合成N-乙基-2-吡啶甲胺


中华试剂网提醒:合成路线仅供参考
回复