基本信息:
中文名称 N-苄基亚胺二乙酸
中文别名 N-羧甲基-N-苄基甘氨酸;N-苄基亚氨基二乙酸;
英文名称 2-[benzyl(carboxymethyl)amino]acetic acid
英文别名 2,2''-(benzylimino)diacetic acid;N-Benzylaminodiacetic acid;N-Benzyliminodiacetic Acid;2-[(carboxymethyl)benzylamino]acetic acid;N-(benzyl)iminodiacetic acid;benzyliminodiacetic acid;
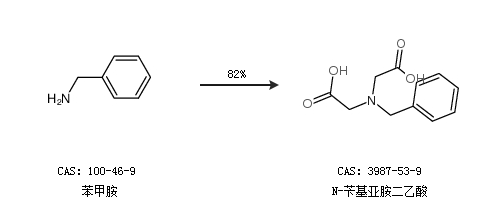
CAS号 3987-53-9
合成路线:
1.通过苯甲胺合成N-苄基亚胺二乙酸,收率约82%;

2.通过亚氨基二乙酸合成N-苄基亚胺二乙酸,收率约63%;

中华试剂网提醒:合成路线仅供参考