基本信息:
中文名称 N-苯甲酰-N-缬氨酸
中文别名 苯甲酰-DL-缬氨酸;N-苯甲酰-DL-缬氨酸;
英文名称 2-benzamido-3-methylbutanoic acid
英文别名 Benzoyl-DL-valine;N-(phenylcarbonyl)valine;Benzoyl-dl-valine;N-Benzoyl-dl-valine;2-(benzoylamino)-3-methylbutanoic acid;3-methyl-2-(phenylformamido)butanoic acid;N-Benzoylvaline;DL-N-benzoylvaline;
CAS号 2901-80-6
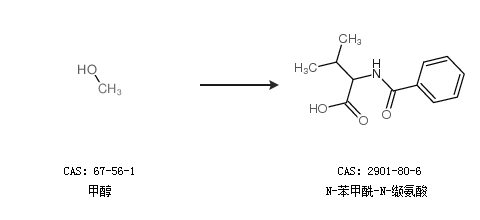
合成路线:
1.通过苯甲酰氯和DL-缬氨酸合成N-苯甲酰-N-缬氨酸,收率约96%;

2.通过甲醇合成N-苯甲酰-N-缬氨酸

中华试剂网提醒:合成路线仅供参考