基本信息:
中文名称 N-苯基甲磺酰胺
中文别名 N-苯基-甲烷磺酰胺;甲磺酰基苯胺;
英文名称 N-Phenylmethanesulfonamide
英文别名 N-(Methylsulfonyl)aniline;N-PhenylMethanesulfonaMide;Methanesulfanilide;N-methanesulfonyl benzenamine;(methylsulfonyl)phenylamine;N-phenyl methanesulphonamide;Mesylaniline;N-Mesylaniline;4-methylsulfonylaminobenzene;N-Methylsulphonylaniline;Methanesulfonamide,N-phenyl;Methanesulfonanilide;
CAS号 1197-22-4
合成路线:
1.通过甲基磺酰胺和环己酮合成N-苯基甲磺酰胺,收率约65%;

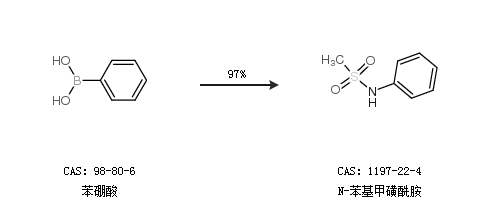
2.通过苯硼酸合成N-苯基甲磺酰胺,收率约97%;

中华试剂网提醒:合成路线仅供参考