基本信息:
中文名称 N-BOC-乙胺
英文名称 tert-butyl N-ethylcarbamate
英文别名 F9995-1167;tert-butyl ethylcarbamate;N-Aethyl-carbamidsaeure-tert.-butylester;N-Boc ethylamine;
CAS号 38267-76-4
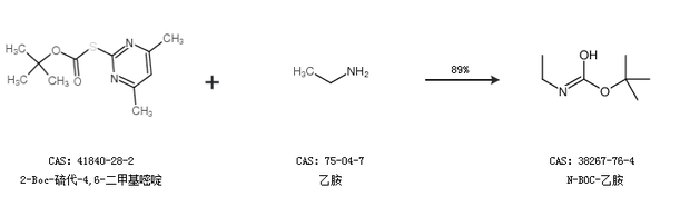
合成路线:
1.通过2-Boc-硫代-4,6-二甲基嘧啶和乙胺合成N-BOC-乙胺,收率约89%;

2.通过二乙基锌和N-叔丁氧羰基-3-(4-氰苯基)哑嗪合成N-BOC-乙胺,收率约71%;

中华试剂网提醒:合成路线仅供参考