基本信息:
中文名称 N-Boc-3-哌啶甲酸乙酯
中文别名 1-(tert-丁氧羰基)哌啶甲酸乙酯;N-BOC-3-哌啶甲酸乙酯或1-叔丁氧羰基-3-哌啶甲酸乙酯;N-BOC-3-哌啶甲酸乙;1-Boc-哌啶甲酸乙酯;1-(tert-丁氧羰基)-3-哌啶甲酸乙酯;1-(tert-丁氧羰基)-3-哌啶甲酸乙酯;N-BOC-3-哌啶甲酸乙酯;甲基1-BOC-哌啶-3-羧酸乙酯;1-Boc-3-哌啶甲酸乙酯;N-叔丁氧羰基-3-哌啶甲酸乙酯;
英文名称 Ethyl 1-Boc-3-piperidinecarboxylate
英文别名 1-(tert-Butyl) 3-ethyl 1,3-piperidinedicarboxylate;1-Boc-3-piperidinecarboxylic Acid Ethyl Ester;1-(tert-Butoxycarbonyl)-piperidine-3-carboxylic acid ethyl ester;1-(tert-Butoxycarbonyl)nipecotic Acid Ethyl Ester;1-O-tert-butyl 3-O-ethyl piperidine-1,3-dicarboxylate;Ethyl N-Boc-3-piperidinecarboxylate;1-(tert-Butoxycarbonyl)-3-piperidinecarboxylic Acid Ethyl Ester;Ethyl N-Boc-piperidine-3-carboxylate;N-Boc-DL-nipecotic acid ethyl ester;Ethyl 1-(tert-Butoxycarbonyl)nipecotate;Ethyl 1-(tert-Butoxycarbonyl)-3-piperidinecarboxylate;Ethyl 1-Boc-nipecotate;1-Boc-nipecotic Acid Ethyl Ester;Ethyl N-Boc-DL-nipecotate;
CAS号 130250-54-3
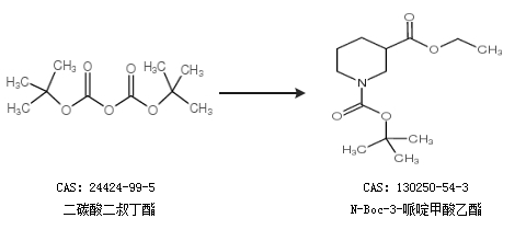
合成路线:
1.通过二碳酸二叔丁酯和3-哌啶甲酸乙酯(盐酸盐)合成N-Boc-3-哌啶甲酸乙酯

2.通过二碳酸二叔丁酯合成N-Boc-3-哌啶甲酸乙酯

中华试剂网提醒:合成路线仅供参考