基本信息:
中文名称 N,3-二甲基-5-(4,4,5,5-四甲基-1,3,2-二噁硼烷-2-基)吡啶-2-胺
英文名称 N,3-dimethyl-5-(4,4,5,5-tetramethyl-1,3,2-dioxaborolan-2-yl)pyridin-2-amine
英文别名 2-METHYLAMINO-3-METHYLPYRIDINE-5-BORONIC ACID PINACOL ESTER;D-5217;5-METHYL-6-(METHYLAMINO)PYRIDINE-3-BORONIC ACID PINACOL ESTER;2-N-METHYLAMINO-3-METHYLPYRIDINE-5-BORONIC ACID PINACOL ESTER;
CAS号 1111637-92-3
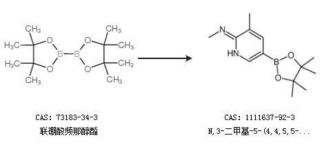
合成路线:
1.通过联硼酸频那醇酯合成N,3-二甲基-5-(4,4,5,5-四甲基-1,3,2-二噁硼烷-2-基)吡啶-2-胺

中华试剂网提醒:合成路线仅供参考