基本信息:
中文名称 N-(苄羰氧基)羟基胺
中文别名 N-苄氧羰基羟胺;N-(苄氧基羰基)羟胺;羟氨羧酸苄酯;N-Cbz-羟胺;N-(苄氧羰基)羟基胺;N-羟基氨基甲酸苄酯;
英文名称 BENZYL N-HYDROXYCARBAMATE
英文别名 Carbamic acid,hydroxy-,phenylmethyl ester;N-Hydroxycarbamic Acid Benzyl Ester;N-Z-Hydroxylamine;N-carbobenzoxyhydroxylamine;N-Cbz-hydroxylamine;Benzyl hydroxycarbamate;N-(Benzyloxycarbonyl)hydroxylamine;N-Carbobenzoxyhydroxylamine;N-Z-Hydroxylamine,Benzyl N-hydroxycarbamate;
CAS号 3426-71-9
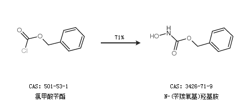
合成路线:
1.通过氯甲酸苄酯合成N-(苄羰氧基)羟基胺,收率约88%;

2.通过氯甲酸苄酯合成N-(苄羰氧基)羟基胺,收率约71%;

中华试剂网提醒:合成路线仅供参考